Chất bán dẫn là vật chất có điện trở suất nằm ở giữa trị số điện trở suất của chất dẫn điện và chất điện môi khi ở nhiệt độ phòng, ρ= 10-4 ÷ 107 Ω.m
Chất bán dẫn là chất mà trong cấu trúc dải năng lượng có độ rộng vùng cấm là 0<EG<2eV.
Chất bán dẫn trong tự nhiên: Bo (B), Indi (In), Gali (Ga) ở nhóm 3, Silic (Si), Gecmani (Ge) thuộc nhóm 4, Asen (As), P, Sb (Antimony) thuộc nhóm 5, Selen (Se), lưu huỳnh (S) ở nhóm 6,… hoặc hợp chất như clorua đồng (CuCl), Asenic Canxi CaAs, Oxit đồng CuO, …
Trong kỹ thuật điện tử hiện nay sử dụng một số chất bán dẫn có cấu trúc đơn tinh thể. Quan trọng nhất là hai nguyên tố Gecmani và Silic.
Đặc điểm của cấu trúc mạng tinh thể này là độ dẫn điện của nó rất nhỏ khi ở nhiệt độ thấp và sẽ tăng theo lũy thừa với sự tăng của nhiệt độ và tăng gấp bội khi có trộn thêm ít tạp chất. Do đó đặc điểm cơ bản của chất bán dẫn là độ dẫn điện phụ thuộc nhiều vào nhiệt độ môi trường và nồng độ tạp chất, ngoài ra còn phụ thuộc vào ánh sáng, bức xạ ion hóa…
Cấu trúc mạng tinh thể chất bán dẫn đơn Si
Mỗi nguyên tử Si liên kết với 4 nguyên tử bên cạnh

Cấu trúc mạng tinh thể của chất bán dẫn ghép
Chất bán dẫn ghép: Hợp chất của các nguyên tử thuộc phân nhóm chính nhóm III và phân nhóm chính nhóm V: GaAs, GaP, GaN,…
Chúng có ứng dụng quan trọng trong các cấu kiện quang điện và IC tốc độ cao

Chất bán dẫn mà ở mỗi nút của mạng tinh thể của nó chỉ có nguyên tử của một loại nguyên tố, ví dụ như các tinh thể Ge (gecmani) Si (silic) nguyên chất…
VD: tinh thể Si, EG= 1,1eV (tại nhiệt độ 3000K)

Sự tạo thành lỗ trống và điện tử tự do
Ở nhiệt độ phòng một số liên kết cộng hóa trị bị phá vỡ tạo ra điện tử tự do và lỗ trống
Lỗ trống cũng có khả năng dẫn điện như điện tử tự do
Bán dẫn thuần có nồng độ hạt dẫn lỗ trống và nồng độ hạt dẫn điện tử bằng nhau: p = n = pi = ni
Độ dẫn điện của chất bán dẫn σ:

μn – độ linh động của điện tử tự do
μp – độ linh động của lỗ trống
q – điện tích của điện tử q=1,6.10-19C
J – mật độ dòng điện khi chất bán dẫn đặt trong điện trường ngoài E:

Các thuật ngữ
Nồng độ điện tử tự do trong chất bán dẫn (Electron Concentration): n [cm-3] – số lượng điện tử tự do trong một đơn vị thể tích chất bán dẫn (ni, nn,np)
Nồng độ lỗ trống trong chất bán dẫn (Hole Concentration):p [cm-3] – số lượng lỗ trống trong một đơn vị thể tích chất bán dẫn (pi, pn, pp)
Độ linh động của điện tử tự do (Electron Mobility): μn[cm2/(V.s)] – Tham số xác định mức độ phân tán của điện tử trong chất bán dẫn, tỉ lệ thuận với vận
tốc khuyếch tán của điện tử và cường độ trường điện từ, cũng như tỉ lệ giữa nồng độ điện tử và độ dẫn điện của chất bán dẫn
Độ linh động của lỗ trống (Hole Mobility) : μp[cm2/(V.s)] – Tham số xác định mức độ phân tán của lỗ trống trong chất bán dẫn, tỉ lệ thuận với vận tốc khuyếch tán của lỗ trống và cường độ trường điện từ, cũng như tỉ lệ giữa nồng độ lỗ trống và độ dẫn điện của chất bán dẫn
Độ dẫn điện (Electrical conductivity): σ [Ω.m]-1 – tham số đo khả năng dẫn dòng điện thông qua một đơn vị vật liệu, σ = 1/ρ
Quá trình tạo hạt tải điện và quá trình tái hợp
Quá trình tạo ra hạt tải điện trong chất bán dẫn thuần:
do năng lượng nhiệt “thermal generation
do năng lượng quang học “optical generation”
Quá trình tái hợp giữa điện tử tự do và lỗ trống và giải phóng năng lượng 2 theo cách:
Tạo ra nhiệt lượng làm nóng chất bán dẫn: “thermal recombination”- Tái hợp toả nhiệt
Phát xạ ra photon ánh sáng : “optical recombination”- Tái hợp phát quang “Optical recombination” rất hiếm xảy ra trong trong chất bán dẫn thuần Si, Ge mà chủ yếu xảy ra trong các loại vật liệu bán dẫn ghép
Quá trình tạo và tái hợp liên tục xảy ra trong chất bán dẫn, và đạt trạng thái cân bằng khi tốc độ của 2 quá trình đó bằng nhau
– Tốc độ tạo hạt tải điện phụ thuộc vào T nhưng lại độc lập với n và p – nồng độ của điện tử tự do và của lỗ trống :
G = Gthermal(T) +Goptical
– Trong khi đó tốc độ tái hợp lại tỷ lệ thuận với cả n và p
R ∝ np
– Trạng thái ổn định xảy ra khi tốc độ tạo và tái hợp cân bằng
G = R ⇒ np = f (T )
– Nếu trong trường hợp không có các nguồn quang và nguồn điện trường ngoài, trạng thái ổn định được gọi là trạng thái cân bằng nhiệt “thermal equilibrium”
np = ni2(T )
Hàm phân bố Fermi-Dirac
Xét một hệ gồm nhiều hạt giống hệt nhau có thể nằm trên nhiều mức năng lượng khác nhau → hàm phân bố, bởi vì để xét các tính chất khác nhau của hệ trước hết ta cần phải biết các hạt này phân bố theo các mức năng lượng trên như thế nào?
Xét hệ gồm N điện tử tự do nằm ở trạng thái cân bằng nhiệt tại nhiệt độ T. Phân bố các điện tử đó tuân theo nguyên lý loại trừ Pauli. Tìm phân bố của các điện tử theo các mức năng lượng?
Áp dụng nguyên lý năng lượng tối thiểu: “xác suất để một hệ gồm N hạt giống hệt nhau nằm trong trạng thái năng lượng E tỷ lệ nghịch với E theo hàm mũ exp, cụ thể là:
PN(E) ~ exp(-E/kT)
Chất bán dẫn không thuần
Chất bán dẫn mà một số nguyên tử ở nút của mạng tinh thể của nó được thay thế bằng nguyên tử của chất khác gọi là chất bán dẫn không
thuần. Có hai loại chất bán dẫn không thuần:
Chất bán dẫn không thuần loại N – gọi tắt là Bán dẫn loại N
Chất bán dẫn không thuần loại P – gọi tắt là Bán dẫn loại P

Chất bán dẫn loại N
Thêm một ít tạp chất là nguyên tố thuộc nhóm 5 (As, P, Sb…) vào chất bán dẫn thuần Ge (Si). Trong nút mạng nguyên tử tạp chất sẽ đưa 4 điện tử trong 5 điện tử hóa trị của nó tham gia vào liên kết cộng hóa trị với 4 nguyên tử Ge (hoặc Si) ở bên cạnh; còn điện tử thứ 5 sẽ thừa ra và liên kết của nó trong mạng tinh thể là rất yếu, ở nhiệt độ phòng cũng dễ dàng tách ra trở thành điện tử tự do trong tinh thể và nguyên tử tạp chất cho điện tử trở thành các ion dương cố định

Nồng độ điện tử tự do trong chất bán dẫn loại N tăng nhanh nhưng tốc độ tái hợp tăng nhanh nên nồng độ lỗ trống giảm xuống nhỏ hơn nồng độ có thể có trong bán dẫn thuần
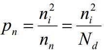
Trong chất bán dẫn loại N, nồng độ hạt dẫn điện tử (nn) nhiều hơn nhiều nồng độ lỗ trống pn và điện tử được gọi là hạt dẫn đa số, lỗ trống được gọi là hạt dẫn thiểu số.
nn >> pn
nn=Nd+pn≈ Nd

Nd – Nồng độ ion nguyên tử tạp chất cho (Donor)
Chất bán dẫn loại P
Thêm một ít tạp chất là nguyên tố thuộc nhóm 3(In, Bo, Ga…) vào chất bán dẫn thuần Ge (Si). Trong nút mạng, nguyên tử tạp chất chỉ có 3 điện tử hóa trị đưa ra tạo liên kết cộng hóa trị với 3 nguyên tử Ge (Si) ở bên cạnh, mối liên kết thứ 4 để trống và tạo thành một lỗ trống. Điện tử của mối liên kết gần đó có thể nhảy sang để hoàn chỉnh mối liên kết thứ 4 còn để trống đó. Nguyên tử tạp chất vừa nhận thêm điện tử sẽ trở thành ion âm và ngược lại ở nguyên tử Ge/Si vừa có 1 điện tử chuyển đi sẽ tạo ra một lỗ trống và nguyên tử này sẽ trở thành ion dương cố định

Nồng độ lỗ trống trong chất bán dẫn loại P tăng nhanh nhưng tốc độ tái hợp tăng nhanh nên nồng độ điện tử tự do giảm xuống nhỏ hơn nồng độ có thể có trong bán dẫn thuần
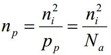
Trong chất bán dẫn loại P, nồng độ hạt dẫn lỗ trống (pp) nhiều hơn nhiều nồng độ điện tử tự do np và lỗ trống được gọi là hạt dẫn đa số, điện tử tự do được gọi là hạt dẫn thiểu số
pp>> np
pp=Na+np≈ Na

Na – Nồng độ ion nguyên tử tạp chất nhận (Acceptor)
Độ dẫn điện của chất bán dẫn
Độ dẫn điện của chất bán dẫn khi có cả 2 hạt tải điện tham gia: σ = q(nμn + pμp)
Với bán dẫn loại n, n>>p, độ dẫn điện là: σn = qNDμn [(Ω.m)-1]
Với bán dẫn loại p, p>>n, độ dẫn điện là: σp = qNAμp [(Ω.m)-1]
Tạp chất càng nhiều thì điện trở suất càng giảm, tuy nhiên độ linh động μn và μp lại giảm khi nồng độ chất pha tạp tăng, như vậy cơ chế dẫn điện trong vùng pha tạp mạnh tương đối phức tạp
Nồng độ giới hạn các nguyên tử tạp chất muốn đưa vào tinh thể bán dẫn được quyết định bởi giới hạn hòa tan của tạp chất ấy. Nếu vượt quá giới hạn này thì hiện tượng kết tủa sẽ xảy ra, khi đó tạp chất sẽ không còn có các tính chất như mong muốn nữa