Cuộn cảm là phần tử sinh ra hiện tượng tự cảm khi dòng điện chạy qua nó biến thiên. Khi dòng điện qua cuộn cảm biến thiên sẽ tạo ra từ thông thay đổi và một sức điện động được cảm ứng ngay trong cuộn cảm hoặc có thể cảm ứng một sức điện động sang cuộn cảm kề cận với nó.

Mức độ cảm ứng trong mỗi trường hợp phụ thuộc vào độ tự cảm của cuộn cảm hoặc sự hỗ cảm giữa hai cuộn cảm. Các cuộn cảm được cấu trúc để có giá trị độ cảm ứng xác định.
Cuộn cảm cũng có thể đấu nối tiếp hoặc song song. Ngay cả một đoạn dây dẫn ngắn nhất cũng có sự cảm ứng.
Vui lòng đọc thêm bài này https://blog.dientutuyenquang.net/cuon-cam-la-gi-ung-dung-cua-cuon-cam.html
Ký hiệu của cuộn cảm
Cuộn cảm thường có 3 loại lõi cơ bản: Cuộn dây lõi Ferit; Cuộn dây lõi sắt từ; Cuộn dây lõi không khí

Các tham số kỹ thuật đặc trưng của cuộn cảm
Phần dưới đây là 3 tham số kỹ thuật cơ bản ta nên nhớ của một cuộn cảm: Độ tự cảm (L); Hệ số phẩm chất của cuộn cảm (Q); Tần số làm việc giới hạn (fg.h).
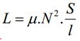
Độ tự cảm (L)

Trong đó:
S – tiết diện của cuộn dây (m2)
N – số vòng dây
l – chiều dài của cuộn dây (m)
μ – độ từ thẩm tuyệt đối của vật liệu lõi (H/ m); μ = μr. μ0
Đơn vị đo độ tự cảm: μH, mH, H…
Độ từ thẩm tuyệt đối của một số loại vật liệu:
Chân không: 4π x 10-7 H/m
Ferrite T38 1.26×10-2 H/m
Không khí: 1.257×10-6 H/m
Ferrite U M33 9.42×10-4 H/m
Nickel 7.54×10-4 H/m
Iron 6.28×10-3 H/m
Silicon GO steel 5.03×10-2 H/m
supermalloy 1.26 H/m
Dung sai của độ tự cảm: là tham số chỉ độ chính xác của độ tự cảm thực tế so với trị số danh định của nó

Một cuộn cảm lý tưởng không có tổn hao khi có dòng điện chạy qua, thực tế luôn có tổn hao do công suất điện tổn hao để làm nóng cuộn dây. Tổn hao này biểu thị bởi điện trở tổn hao RS
Hệ số phẩm chất của cuộn cảm (Q)
Q dùng để đánh giá chất lượng của cuộn cảm. Cuộn cảm tổn hao nhỏ dùng sơ đồ tương đương nối tiếp, cuộn cảm tổn hao lớn dùng sơ đồ tương đương song song.

Tần số làm việc giới hạn (fg.h)
Khi tần số làm việc nhỏ, bỏ qua điện dung phân tán giữa các vòng dây của cuộn cảm, nhưng khi làm việc ở tần số cao điện dung này là đáng kể
Do đó ở tần số đủ cao cuộn cảm trở thành một mạch cộng hưởng song song. Tần số cộng hưởng của mạch cộng hưởng song song này gọi là tần số cộng hưởng riêng của cuộn dây f0
Nếu cuộn dây làm việc ở tần số > tần số cộng hưởng riêng này thì cuộn dây mang dung tính nhiều hơn. Do đó tần số làm việc cao nhất của cuộn dây phải thấp hơn tần số cộng hưởng riêng của nó.

Cách ghi và đọc tham số trên cuộn cảm
Ghi trực tiếp: cách ghi đầy đủ các tham số độ tự cảm L, dung sai, loại lõi cuộn cảm… Cách này chỉ dùng cho các loại cuộn cảm có kích thước lớn.
Ghi gián tiếp theo qui ước theo mầu: Dùng cho các cuộn cảm nhỏ
Vòng màu 1: chỉ số có nghĩa thứ nhất hoặc chấm thập phân
Vòng màu 2: chỉ số có nghĩa thứ hai hoặc chấm thập phân
Vòng màu 3: chỉ số 0 cần thêm vào, đơn vị đo là μH
Vòng màu 4: chỉ dung sai %.

Phân loại và ứng dụng cuộn cảm
Dựa theo ứng dụng:
Cuộn cộng hưởng – cuộn cảm dùng trong các mạch cộng hưởng LC
Cuộn lọc – cuộn cảm dùng trong các bộ lọc một chiều.
Cuộn chặn dùng để ngăn cản dòng cao tần, v.v..
Dựa vào loại lõi của cuộn cảm:
Cuộn dây lõi không khí: Loại cuộn dây không lõi hoặc cuốn trên các cốt không từ tính, thường dùng là các cuộn cộng hưởng làm việc ở tần số cao và siêu cao. Các yêu cầu chính: điện cảm phải ổn định ở tần số làm việc, Q cao, điện dung riêng nhỏ, hệ số nhiệt của điện cảm thấp
Cuộn cảm lõi sắt bụi: Dùng bột sắt nguyên chất trộn với chất dính kết không từ tính là lõi cuộn cảm, thường dùng ở tần số cao và trung tần. Cuộn dây lõi sắt bụi có tổn thất thấp, đặc biệt là tổn thất do dòng điện xoáy ngược, và độ từ thẩm thấp hơn nhiều so với loại lõi sắt từ
Cuộn cảm lõi Ferit: thường là các cuộn cảm làm việc ở tần số cao và trung tần. Lõi Ferit có nhiều hình dạng khác nhau như: thanh, ống, hình chữ E, chữ C, hình xuyến, hình nồi, hạt đậu,v.v.. Dùng lõi hình xuyến dễ tạo điện cảm cao, tuy vậy lại dễ bị bão hòa từ khi có thành phần một chiều
Cuộn cảm lõi sắt từ: Lõi của cuộn cảm thường hợp chất sắt – silic, hoặc sắt- niken …. Đây là các cuộn cảm làm việc ở tần số thấp. Dùng dây đồng đã được tráng men cách điện quấn thành nhiều lớp có cách điện giữa các lớp và được tẩm chống ẩm