Qua bài viết trước chúng ta đã nhắc tới tụ điện, ở bài này sẽ tìm hiểu kỹ thơn về các tham số kỹ thuật đặc trưng của tụ điện, ký hiệu của tụ điện, cách ghi và đọc tham số trên tụ điện, sơ đồ tương đương, phân loại…
Xem nhanh Nội dung
1 Định nghĩa tụ điện2 Các tham số kỹ thuật đặc trưng của tụ điện2.1 Trị số dung lượng (C)2.2 Điện áp làm việc:2.3 Hê số nhiệt của tu điên2.4 Dòng điện rò2.5 Sự phân cực3 Ký hiệu của tụ4 Cách đọc và ghi trị số trên tụ4.1 Ghi trực tiếp:4.2 Ghi gián tiếp theo qui ước:5 Sơ đồ tương đương của tụ6 Phân loại tụ điện6.1 Tụ điện có trị số điện dung cố định:6.2 Tụ điện có trị số điện dung thay đổi6.3 Ứng dụng tụ điện7 Môt số hình ảnh của tụ điện7.1 Tương Tự or Liên Quan
Định nghĩa tụ điện
Tụ điện là linh kiện dùng để chứa điện tích. Một tụ điện lý tưởng có điện tích ở bản cực tỉ lệ thuận với hiệu điện thế đặt trên nó theo công thức: Q = C . U [culông]
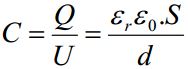
Điện dung của tụ điện C [F] và được tính bằng công thức sau:


Trong đó:
Đơn vị đo C: F, μF, nF, pF …
εr – hằng số điện môi của chất điện môi
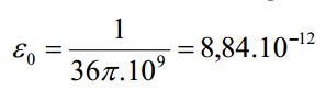
ε0 – hằng số điện môi của không khí hay chân không

S – diện tích hữu dụng của bản cực [m2];
d – khoảng cách giữa 2 bản cực [m]
Các tham số kỹ thuật đặc trưng của tụ điện
Khi sử dụng tính toán tụ điện trong mạch ta có thể cần phải quan tâm đến 5 tham số cơ bản sau của tụ điện: Trị số dung lượng và dung sai; Điện áp làm việc; Hệ số nhiệt; Dòng điện rò; Sự phân cực
Trị số dung lượng (C)
Dung sai của tụ điện: là tham số chỉ độ chính xác của trị số dung lượng thực tế so với trị số danh định của nó Dung sai của tụ điện được tính bằng công thức:

Điện áp làm việc:
Điện áp cực đại có thể cung cấp cho tụ điện hay còn gọi là “điện áp làm việc một chiều“, nếu quá điện áp này lớp cách điện sẽ bị đánh thủng và làm hỏng tụ
Hê số nhiệt của tu điên
Mỗi một loại tụ điện chịu một ảnh hưởng với khoảng nhiệt độ do nhà sản xuất xác định. Khoảng nhiệt độ tiêu chuẩn thường từ:
-200C đến +650C
-400C đến +650C
-550C đến +1250C
Để đánh giá sự thay đổi của trị số điện dung khi nhiệt độ thay đổi người ta dùng hệ số nhiệt của tụ diện TCC

Dòng điện rò
Do chất cách điện đặt giữa 2 bản cực nên sẽ có một dòng điện rò rất bé chạy qua giữa 2 bản cực của tụ điện. Trị số Irò phụ thuộc vào điện trở cách điện của chất điện môi
Tụ điện màng Plastic có điện trở cách điện cao hơn 100000 MΩ, còn tụ điện điện giải thì dòng điện rò có thể lên tới vài μA khi điện áp đặt vào 2 bản cực của tụ chỉ 10V
Đối với điện áp xoay chiều, tổn hao công suất trong tụ được thể hiện qua hệ số tổn hao D:

Tụ tổn hao nhỏ dùng sơ đồ tương đương nối tiếp; Tụ tổn hao lớn dùng sơ đồ tương đương song song.
Sự phân cực
Các tụ điện điện giải ở các chân tụ thường có đánh dấu cực tính dương (dấu +) hoặc âm (dấu -) gọi là sự phân cực của tụ điện. Khi sử dụng phải đấu tụ vào mạch sao cho đúng cực tính của tụ. Như vậy chỉ sử dụng loại tụ này vào những vị trí có điện áp làm việc không thay đổi cực tính.
Ký hiệu của tụ

Tụ điện lớn thường có tham số điện dung ghi trực tiếp, tụ điện nhỏ thường dùng mã: XYZ = XY * 10Z pF
Cách đọc và ghi trị số trên tụ
Hai tham số quan trọng nhất thường được ghi trên thân tụ điện là trị số điện dung (kèm theo dung sai sản xuất) và điện áp làm việc (điện áp lớn nhất). Có 2 cách ghi cơ bản:
Ghi trực tiếp:
cách ghi đầy đủ các tham số và đơn vị đo của chúng. Cách này chỉ dùng cho các loại tụ điện có kích thước lớn. Ví dụ: trên thân một tụ mi ca có ghi: 5.000PF ± 20% 600V
Ghi gián tiếp theo qui ước:
Qui ước số: Cách ghi này thường gặp ở các tụ Pôlystylen
Ví dụ 1: Trên thân tụ có ghi 47/ 630: tức giá trị điện dung là 47 pF, điện áp làm việc một chiều là 630 Vdc.
Ví dụ 2: Trên thân tụ có ghi 0.01/100: tức là giá trị điện dung là 0,01 pF và điện áp làm việc một chiều là 100 Vdc.
Quy ước theo mã: Giống như điện trở: 123K/50V =12000 pF ± 10% và điện áp làm việc lớn nhất 50 Vdc
Quy ước theo màu:
Loại có 4 vạch màu:
Hai vạch đầu là số có nghĩa thực của nó
Vạch thứ ba là số nhân (đơn vị pF) hoặc số 0 cần thêm vào
Vạch thứ tư chỉ điện áp làm việc.
Loại có 5 vạch màu:
Ba vạch màu đầu giống như loai 4 vạch màu; Vạch màu thứ tư chỉ % dung sai; Vạch màu thứ 5 chỉ điện áp làm việc.

Sơ đồ tương đương của tụ

Tùy vào trường hợp cụ thể mà ta sử dụng 1 trong 3 sơ đồ: Sơ đồ tương đương tổng quát; Sơ đồ tương đương song song; Sơ đồ tương đương nối tiếp.
Trong đó:
L: là điện cảm của đầu nối, dây dẫn (ở tần số thấp L ≈ 0)
RS : là điện trở của đầu nối, dây dẫn và bản cực (RS thường rất nhỏ)
Rp : là điện trở rò của chất cách điện và vỏ boc.
RL, RS : là điện trở rò của chất cách điện
C: là tụ điện lý tưởng
Phân loại tụ điện
Có thể phân thành 2 loại cơ bản: Tụ điện có trị số điện dung cố định; Tụ điện có trị số điện dung thay đổi được.
Tụ điện có trị số điện dung cố định:
Tụ giấy: chất điện môi là giấy, thường có trị số điện dung khoảng từ 500 pF đến 50μF và điện áp làm việc đến 600Vdc. Tụ giấy có giá thành rẻ nhất so với các loại tụ có cùng trị số điện dung.
Ưu điểm: kích thước nhỏ, điện dung lớn.
Nhược điểm: Tổn hao điện môi lớn, TCC lớn.
Tụ màng chất dẻo: chât điện môi là chất dẻo, có điện trở cách điện lớn hơn 100000 MΩ. Điện áp làm việc cao khoảng 600V. Tụ màng chất dẻo nhỏ hơn tụ giấy nhưng đắt hơn. Giá trị điện dung của tụ tiêu chuẩn nằm trong khoảng từ 5 pF đến 0,47 pF
Tụ mi ca: chất điện môi là mi ca, tụ mi ca tiêu chuẩn có giá trị điện dung khoảng từ 1 pF đến 0,1μF và điện áp làm việc cao đến 3500V
Nhược điểm: giá thành của tụ cao.
Ưu điểm:Tổn hao điện môi nhỏ, Điện trở cách điện rất cao, chịu được nhiệt độ cao.
Tụ gốm: chất điện môi là gốm.
Giá trị điện dung của tụ gốm tiêu chuẩn khoảng từ 1pF đến 0,1 μF, với điện áp làm việc một chiều đến 1000 Vdc.
Đặc điểm của tụ gốm là kích thước nhỏ, điện dung lớn, có tính ổn định rất tốt, có thể làm việc lâu dài mà không lão hoá.
Tụ dầu: chất điện môi là dầu.
Tụ dầu có điện dung lớn, chịu được điện áp cao
Có tính năng cách điện tốt, có thể chế tạo thành tụ cao áp
Kết cấu đơn giản, dễ sản xuất
Tụ điện giải nhôm: Câu trúc cơ bản giống tụ giấy.
Hai lá nhôm mỏng làm hai bản cực đặt cách nhau bằng lớp vải mỏng được tẩm chất điện phân (dung dịch điện phân), sau đó được quấn lại và cho vào trong một khối trụ bằng nhôm để bảo vệ.
Thường làm việc với điện áp một chiều > 400 Vdc, trong trường hợp này điện dung không quá 100 μF. Điện áp làm việc thâp và dòng rò tương đối lớn
Tụ tantan (chất điện giải Tantan): là một loại tụ điện giải.
Bột tantan được cô đặc thành dạng hình trụ, sau đó được nhấn chìm vào một hộp chứa chất điện phân. Dung dịch điện phân sẽ thâm vào chất tantan. Khi đặt một điện áp một chiều lên hai chân tụ thì một lớp oxit mỏng được tạo thành ở vùng tiếp xúc của chất điện phân và tantan.
Tụ tantan có điện áp làm việc lên đến 630 Vdc nhưng giá trị điện dung chỉ khoảng 3,5 μF.
Tụ điện có trị số điện dung thay đổi
Loại đa dụng còn gọi là tụ xoay:
Tụ xoay được dùng làm tụ điều chỉnh thu sóng trong các máy thu thanh, v.v..
Tụ xoay có thể có 1 ngăn hoặc nhiều ngăn. Mỗi ngăn có các lá động xen kẽ, đối nhau với các lá tĩnh (lá giữ cố định) chế tạo từ nhôm. Chất điện môi có thể là không khí, mi ca, màng chất dẻo, gốm…
Tụ vi điều chỉnh (Trimcap) có nhiều kiểu.
Chất điện môi cũng dùng nhiều loại như không khí, màng chất dẻo, thuỷ tinh hình ống…
Trong các loại Trimcap chuyên dùng, thường gặp nhất là loại chất điện môi gốm.
Để thay đổi trị số điện dung ta thay đổi vị trí giữa hai lá động và lá tĩnh. Khoảng điều chỉnh của tụ từ 1,5 pF đến 3 pF, hoặc từ 7 pF đến 45 pF và từ 20 pF đến 120 pF tuỳ theo hệ số nhiệt cần thiết
Ứng dụng tụ điện
Tụ liên lạc: ngăn cách được dòng một chiều giữa mạch này với mạch khác nhưng lại dẫn dòng điện xoay chiều đi qua
Tụ thoát: dùng để triệt bỏ tín hiệu không cần thiết từ một điểm trên mạch xuống đất (ví dụ: tạp âm)
Tụ cộng hưởng: dùng làm phần tử dung kháng trong các mạch cộng hưởng LC
Tụ lọc: dùng trong mạch lọc.
Các tụ trong nhóm đa dụng dùng để liên lạc, lọc nguồn điện, thoát tín hiệu … ngoài ra tụ còn dùng để trữ năng lượng, định thời…
Do có tính nạp điện và phóng điện, tụ còn dùng để tạo mạch định giờ, mạch phát sóng răng cưa, mạch vi phân và tích phân.
Môt số hình ảnh của tụ điện

Tu hoá (Electrolytic Capacitors)

Tụ Tantan (Tantalum Capacitors)

Tụ gốm – Tụ đất ( Ceramic Capacitors )

Tụ gốm nhiều tầng (Multilayer Ceramic Capacitors )

Tụ mica

Tụ film nhựa (Polystyrene Film Capacitors)

Tụ có trị số thay đổi được

Tụ dầu