Nội dung bài viết ngoài tìm hiểu Các tham số kỹ thuật đặc trưng của điện trở còn bao gồm các nội dung khác như: Ký hiệu của điện trở; Cách ghi và đọc tham số trên thân điện trở; Điện trở cao tần và mạch tương đương; Phân loại…
Định nghĩa
Điện trở là phần tử có chức năng ngăn cản dòng điện trong mạch; Mức độ ngăn cản dòng điện được đặc trưng bởi trị số điện trở R=U/I. Đơn vị đo: pΩ, mΩ, Ω, kΩ, MΩ, GΩ, TΩ.
Ứng dụng: định thiên cho các cấu kiện bán dẫn, điều khiển hệ số khuyếch đại, cố định hằng số thời gian, phối hợp trở kháng, phân áp, tạo nhiệt…

Kết cấu đơn giản của một điện trở thường
Các tham số kỹ thuật và đặc tính của điện trở
Điện trở là một linh kiện có kết cấu đơn giản, chức năng đơn giản nhưng để đánh giá một điện trở người ta có tham số căn bản sau:
Trị số điện trở và dung sai
Hệ số nhiệt của điện trở
Công suất tiêu tán danh định
Tạp âm của điện trở
Trị số điện trở và dung sai
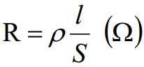
Công thức tính trị số của điện trở:

Từ công thức trên ta thấy giá trị của điện trở phụ thuộc vào điện trở suất ρ của vật liệu dây dẫn cản điện, chiều dài dây dẫn l, tiết diện của dây dẫn S.
Cấp chính xác của điện trở (tolerance levels):
Dung sai hay sai số (Resistor Tolerance): biểu thị mức độ chênh lệch của trị số thực tế của điện trở so với trị số danh định và được tính theo %

Để chia độ chính xác của điện trở người ta chia ra làm 5 cấp độ khác nhau:
Cấp 005: sai số ± 0,5 %
Cấp 01: sai số ± 1 %
Cấp I: sai số ± 5 %
Cấp II: sai số ± 10 %
Cấp III: sai số ± 20 %
Hệ số nhiệt của điện trở – TCR
TCR (temperature coefficient of resistance): biểu thị sự thay đổi trị số của điện trở theo nhiệt độ

TCR có thể âm, bằng 0 hoặc dương tùy loại vật liệu:
Kim loại thuần thường có TCR >0
Một số hợp kim (constantin, manganin) có TCR = 0
Carbon, than chì có TCR <0
Công suất tiêu tán danh định của điện trở (Pt.tmax)
Pt.tmax: công suất điện cao nhất mà điện trở có thể chịu đựng được trong điều kiện bình thường, làm việc trong một thời gian dài không bị hỏng

Pt.t.max tiêu chuẩn cho các điện trở dây quấn nằm trong khoảng từ 1W đến 10W hoặc cao hơn nhiều. Để tỏa nhiệt cần yêu cầu diện tích bề mặt của điện trở phải lớn → các điện trở công suất cao đều có kích thước lớn
Các điện trở than là các linh kiện có công suất tiêu tán danh định thấp, khoảng 0,125W; 0,25W; 0,5W; 2W và 2W
Tạp âm của điện trở
Tạp âm của điện trở gồm:
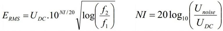
Tạp âm nhiệt (Thermal noise): sinh ra do sự chuyển động của các hạt mang điện bên trong điện trở do nhiệt độ

Trong đó:
ERMS = the Root-Mean-Square hay điện áp hiệu dụng
k = Hằng số Boltzman (1,38.10-23)
T = nhiệt độ tính theo độ Kelvin (nhiệt độ phòng = 27°C = 300°K)
R = điện trở
Δf = Băng thông của mạch tính theo Hz (Af = f2-f1)
Tạp âm dòng điện (Current Noise): sinh do các thay đổi bên trong của điện trở khi có dòng điện chạy qua nó

Trong đó:
NI: Noise Index (Hệ số nhiễu)
UDC: điện áp không đổi đặt trên 2 đầu điện trở
Unoise: điện áp tạp âm dòng điện
f -> f2: khoảng tần số làm việc của điện trở
Mức tạp âm phụ thuộc chủ yếu vào loại vật liệu cản điện. Bột than nén có mức tạp âm cao nhất. Màng kim loại và dây quấn có mức tạp âm rất thấp.
Ký hiệu của điện trở trên các sơ đồ mạch

Ký hiệu điện trở thường, điện trở công suất và biến trở
Cách ghi và đọc tham số trên thân điện trở (1)
Ghi trực tiếp: ghi đầy đủ các tham số chính và đơn vị đo trên thân của điện trở, vd: 220KΩ 10%, 2W
Ghi theo quy ước: có rất nhiều các quy ước khác nhau. Xét một số quy ước thông dụng:
Quy ước đơn giản: Không ghi đơn vị Ôm, R (hoặc E) = Ω, M = MΩ, K = KΩ
Ví dụ: 2M=2MΩ, 0K47 =0,47KΩ = 470Ω, 100K = 100 KΩ, 220E = 220Ω, R47 = 0,47Ω
Quy ước theo mã: Mã này gồm các chữ số và một chữ cái để chỉ % dung sai. Trong các chữ số thì chữ số cuối cùng chỉ số số 0 cần thêm vào. Các chữ cái chỉ % dung sai qui ước gồm: F = 1 %, G = 2 %, J = 5 %, K = 10 %, M = 20 %
Ví dụ: 103F = 10000 Ω ± 1% = 10K ± 1%
Quy ước màu: Loại 4 vòng màu, và loại 5 vạch màu (tham khảo thêm bài https://machdientu.org/dien-tro)

Điện trở cao tần và mạch tương đương
Khi làm việc ở tần số cao điện trở có điện cảm và điện dung ký sinh là đáng kể, Sơ đồ tương đương của điện trở ở tần số cao như sau:

Tần số làm việc hiệu dụng của điện trở được xác định sao cho sự sai khác giữa trở kháng tương đương của nó so với giá trị điện trở danh định không vượt quá dung sai
Đặc tính tần số của điện trở phụ thuộc vào cấu trúc, vật liệu chế tạo… Kích thước điện trở càng nhỏ thì đặc tính tần số càng tốt, điện trở cao tần thường có tỷ lệ kích thước là từ 4:1 đến 10:1
Phân loại điện trở
Điện trở có trị số cố định
Thường được phân loại theo vật liệu cản điện
Điện trở than tổng hợp (than nén): cấu trúc từ hỗn hợp bột cacbon (bột than chì) được đóng thành khuôn, kích thước nhỏ và giá thành rất rẻ
Điện trở than nhiệt giải hoặc than màng (màng than tinh thể)
Điện trở dây quấn
Điện trở màng hợp kim, màng oxit kim loại hoặc điện trở miếng.
Điện trở cermet (gốm kim loại)
Ngoài ra còn phân loại theo kết cấu đầu nối để phục vụ lắp ráp; phân loại theo loại vỏ bọc để dùng ở những môi trường khác nhau; phân loại theo loại ứng dụng….
Điện trở có trị số thay đổi (biến trở)
Dạng kiểm soát dòng công suất lớn dùng dây quấn (ít gặp trong các mạch điện trở)
Chiết áp: so với điện trở cố định thì chiết áp có thêm một kết cấu con chạy gắn với một trục xoay để điều chỉnh trị số điện trở. Con chạy có kết cấu kiểu xoay (chiết áp xoay) hoặc theo kiểu trượt (chiết áp trượt). Chiết áp có 3 đầu ra, đầu giữa ứng với con trượt còn hai đầu ứng với hai đầu của điện trở

Một số điện trở đặc biệt
Điện trở nhiệt: Tecmixto

Điện trở Varixto:

Điện trở Mêgôm: có trị số điện trở từ 108 + 1015 Ω
Điện trở cao áp: điện trở chịu được điện áp cao 5 KV + 20 KV
Điện trở chuân: các điện trở dùng vật liệu dây quân đặc biệt có độ ổn định cao
Mạng điện trở: là một loại vi mạch tích hợp có 2 hàng chân. Một phương pháp chế tạo là dùng công nghệ màng mỏng, trong đó dung dịch chât dẫn điện được lắng đọng trong một hình dạng theo yêu cầu.